• Water-cooled Low Temperature Screw Compressor Freezer
Water-cooled Low Temperature Screw Compressor Freezer
The water-cooled low-temperature Freezer uses a screw compressor. The refrigerant in the unit is in the state of gas from the evaporator; after adiabatic compression by the compressor, it becomes a high-temperature and high-pressure state. The compressed gas refrigerant is cooled and condensed in the condenser under isobaric cooling, and then changes into liquid refrigerant after condensation, and then expands to low pressure through the throttle valve to become a gas-liquid mixture. The liquid refrigerant at low temperature and low pressure absorbs the heat of the cooled substance in the evaporator and turns into gas refrigerant again...
  • Product Detail
  • Product Tags

Refrigerator product series

Model: DW-LSW series

Type: Water Cooling

Cooling capacity range: 40KW~500KW

Temperature control accuracy: ±1℃~±2℃

Temperature range: -5℃~-40℃

Customizable: Yes (supports all kinds of non-standard customization)

Delivery time: 15 to 30 working days



Introduction to water-cooled low-temperature freezer

The water-cooled low-temperature screw refrigerator is named as the water-cooled screw refrigerator because its key component - the compressor adopts the screw type. The refrigerant in the state of gas from the evaporator of the unit is compressed by the compressor in adiabatic compression, and becomes a high-temperature and high-pressure state. The compressed gas refrigerant is cooled and condensed in the condenser under isobaric pressure, and changes into liquid refrigerant after condensation, and then expands to low pressure through the throttle valve to become a gas-liquid mixture. Among them, the liquid refrigerant at low temperature and low pressure absorbs the heat of the cooled substance in the evaporator and turns into gas refrigerant again. The gas refrigerant re-enters the compressor through the pipeline and starts a new cycle. These are the four processes of the refrigeration cycle. It is also the main working principle of the screw refrigerator.


Application fields

With the development of modern science and technology, the requirements for diversified products are not met by normal temperature water for some processes and equipment. For example, pharmaceutical chemicals, food and beverages, special electronic materials and other high-end industries often require low-temperature freezers to meet process requirements. Dawoxi low-temperature freezers use foreign high-end brand compressors and advanced process structure design to meet some low-temperature freezing requirements of -40, -50, -60 degrees.


Freatures of refrigeration products

1. Use imported international brands BITZER Germany (Bitzer) Taiwan HANBELL (Han Bell) high-efficiency energy-saving compressors matched with high-quality condensers and evaporators, with high efficiency, high performance, stable, low noise and long service life. Industrial-grade PLC unit centralized control, with the energy ratio of the compressor, can timely and accurately control the matching of the unit's refrigeration capacity and cooling load, ensure the efficient operation of the unit, and reduce operating costs.

2. It has multiple safety protection and processing functions integrated inside, including water cut-off, low temperature, high and low pressure anti-freeze, phase loss, delayed start, reverse phase overload, motor overheating, oil pressure difference, etc.

3. Full Chinese operation interface, menu-based prompts, the unit operation status can be set arbitrarily, and the operating environment is like that of home appliances.

4. Capacity control can adopt four-stage (100%-75%-50%-25%) or three-stage (100%-66%-33%) and stepless control systems.

5. Unique built-in oil pressure system ensures that the compressor maintains lubrication without an oil pump. The oil separator adopts double-layer filtration, which has good oil filtration effect and the heat converter can exert its maximum capacity.

6. High-efficiency internally threaded copper tubes enhance heat transfer and are more energy-efficient and efficient. Using CAD/CAM design and processing technology, the CNC processing center is used to complete the production. The structure is compact, the volume is 15 times smaller, and it is durable. The U-shaped heat exchange tube bundle is convenient for maintenance and prevents refrigerant leakage.



Technical parameters


Low temperature screw chiller (-10℃)


modelDW-100LSWDW-140LSWDW-180LSWDW-200LSWDW-230LSWDW-260LSWDW-300LSWDW-310LSWDW-320LSWDW-340LSWDW-370LSWDW-410LSWDW-470LSWDW-510LSWDW-550LSWDW-580LSWDW-620LSWDW-710LSWDW-790LSWDW-830LSWDW-930LSWDW-1020LSWDW-1130LSWDW-1270LSWDW-1530LSW
Cooling capacity (-10℃)KW43.860.779.885.6106.5114.7135.3142.9150.4159.2171.5186.3226.4236.8261.8283.6294.4343.1369.3401.9453.4511.3584.2655.5760.4
Kcal/h376685220268628736169159098642116358122894129344136912147490160218194704203648225148243896253184295066317598345634389924439718502412563730653944
Total PowerKW20.426.933.837.244.648.755.258.760.16469.576.691.793.8105.5112.9118.1134.7145.2158.6179.2201.1223.7249.9288.5
Operating currentA3647.861.36679.685.896.7102.1104.3111.9120.3130.3155.9161.8179.9191.6200.9228.6246.4268.8303.7353.6388.9431496.6
power supplyThree-phase 380V 50Hz
Temperature control range5-35
Temperature control accuracy±1
refrigeranttype
R22 (R407C/R410A/R134A)
Filling amountKG1520252730343838395053577074788490103109115123128134140155
Control method
Externally balanced thermal expansion valve
compressorstart up
Y-1△
Energy Regulation%0-25-50-75-100 (0-33-66-100)
form
Semi-hermetic screw compressor
powerKW20.426.933.837.244.648.755.258.760.16469.576.691.793.8105.5112.9118.1134.7145.2158.6179.2201.1223.7249.9288.5
Evaporatortype
Shell and tube
Chilled water flowm3/h192532343842505254636875838794107115136148167178202210222245
Pipe diameter
PT 2-1/2"PT 3〃PT 4〃PT 5〃PT 6〃PT 8〃PT 5〃*2PT 6〃*2
Condensertype
Shell and tube
Cooling water flowm3/htwenty three2936404448586064728492101105115128142159180198213242259281315
Pipe diameter
PT 3〃PT 4〃PT 5〃PT 6〃PT 8〃PT 5〃*2PT 6〃*2
Security protectionCompressor overheat protection, overcurrent protection, high and low pressure protection, overtemperature protection, flow protection, phase sequence/phase loss protection, exhaust overheat protection, and antifreeze protection.
Dimensionslongmm2250230025002500250026002800280028002800320033003300330034003400340036503650365039503950395039503950
Widthmm80080080080080085085085085085090090090090095095095010001000100011001100110012501250
highmm1450145015501550155017001800180018001800180018001800180019001900190020202020202021002100210022002200

Note: 1. The cooling capacity is measured under the following temperature conditions: the refrigerant is 60% hexanediol aqueous solution; the condensing temperature is 40°C. (The cooling capacity is the nominal cooling capacity) 

          2. Working range: Chilled water temperature range: 22℃ to 37℃, cooling inlet temperature difference is 3.5℃ to 10℃; refrigerant outlet temperature is 5℃ to 30℃, refrigerant inlet and outlet temperature difference is 2.5℃ to 10℃. 

          3. The refrigerant is a 60% glycol aqueous solution prepared by the user (please refer to the low temperature refrigerant configuration table for details)

          4. The above specifications and dimensions are subject to change without prior notice




Low temperature screw freezer (-20℃)


modelDW-100LSWDW-140LSWDW-180LSWDW-200LSWDW-230LSWDW-260LSWDW-300LSWDW-310LSWDW-320LSWDW-340LSWDW-370LSWDW-410LSWDW-470LSWDW-510LSWDW-550LSWDW-580LSWDW-620LSWDW-710LSWDW-790LSWDW-830LSWDW-930LSWDW-1020LSWDW-1130LSWDW-1270LSWDW-1530LSW
Cooling capacity (-20℃)KW27.738.450.754.367.772.886.190.995.8101.4109.1118.5144.1150.9166.7180.6187.5218.7235.3256.1288.9325.9372.7418.2485.3
Kcal/h2382233024436024669858222626087404678174823888720493826101910123926129774143362155316161250188082202358220246248454280274320522359652417358
Total PowerKW18.724.831.134.24144.750.85455.358.963.970.484.386.397.1103.9108.6123.9133.6145.9164.8185205.7229.8265.3
Operating currentA33.744.757.661.874.379.99094.996.8104.1111.7120.7144.4150.6166.7177.2186.1212.8229.4250.1282.5329360.7400.7461.5
power supplyThree-phase 380V 50Hz
Temperature control range5-35
Temperature control accuracy±1
refrigeranttype
R22 (R407C/R410A/R134A)
Filling amountKG1520252730343838395053577074788490103109115123128134140155
Control method
Externally balanced thermal expansion valve
compressorstart up
Y-1△
Energy Regulation%0-25-50-75-100 (0-33-66-100)
form
Semi-hermetic screw compressor
powerKW18.724.831.134.24144.750.85455.358.963.970.484.386.397.1103.9108.6123.9133.6145.9164.8185205.7229.8265.3
Evaporatortype
Shell and tube
Chilled water flowm3/h192532343842505254636875838794107115136148167178202210222245
Pipe diameter
PT 2-1/2"PT 3〃PT 4〃PT 5〃PT 6〃PT 8〃PT 5〃*2PT 6〃*2
Condensertype
Shell and tube
Cooling water flowm3/htwenty three2936404448586064728492101105115128142159180198213242259281315
Pipe diameter
PT 3〃PT 4〃PT 5〃PT 6〃PT 8〃PT 5〃*2PT 6〃*2
Security protectionCompressor overheat protection, overcurrent protection, high and low pressure protection, overtemperature protection, flow protection, phase sequence/phase loss protection, exhaust overheat protection, and antifreeze protection.
Dimensionslongmm2250230025002500250026002800280028002800320033003300330034003400340036503650365039503950395039503950
Widthmm80080080080080085085085085085090090090090095095095010001000100011001100110012501250
highmm1450145015501550155017001800180018001800180018001800180019001900190020202020202021002100210022002200
Unit weightKG1030115013501420150016801730174017601800190019802100229024202530270029503200348036703880412044004800

Note: 1. The cooling capacity is measured under the following temperature conditions: the refrigerant is 60% hexanediol aqueous solution; the condensing temperature is 40°C. (The cooling capacity is the nominal cooling capacity) 

          2. Working range: Chilled water temperature range: 22℃ to 37℃, cooling inlet temperature difference is 3.5℃ to 10℃; refrigerant outlet temperature is 5℃ to 30℃, refrigerant inlet and outlet temperature difference is 2.5℃ to 10℃. 

          3. The refrigerant is a 60% glycol aqueous solution prepared by the user (please refer to the low temperature refrigerant configuration table for details)

          4. The above specifications and dimensions are subject to change without prior notice




Low temperature screw freezer (-30℃)


modelDW-100LSWDW-140LSWDW-180LSWDW-200LSWDW-230LSWDW-260LSWDW-300LSWDW-310LSWDW-320LSWDW-340LSWDW-370LSWDW-410LSWDW-470LSWDW-510LSWDW-550LSWDW-580LSWDW-620LSWDW-710LSWDW-790LSWDW-830LSWDW-930LSWDW-1020LSWDW-1130LSWDW-1270LSWDW-1530LSW
Cooling capacity (-35℃)KW12.116.922.323.829.73237.94042.144.64852.163.466.473.379.582.596.3103.6112.7127.1143.4164.2184.3213.8
Kcal/h1040614534191782046825542275203414234400362063835641280448065452457104630386837070950828188909696922109306123324141212158498183868
Total PowerKW16.7twenty two27.730.536.539.845.248.149.252.456.962.775.176.886.492.596.7110.3119129.9146.8164.7183.2204.7236.3
Operating currentA30.941535667.972.681.78687.794.4101.1109.1130.4137.1150.8159.8168.1193.8208.7227.5256.9298.9326.3363.4418.3
power supplyThree-phase 380V 50Hz
Temperature control range5-35
Temperature control accuracy±1
refrigeranttype
R22 (R407C/R410A/R134A)
Filling amountKG1520252730343838395053577074788490103109115123128134140155
Control method
Externally balanced thermal expansion valve
compressorstart up
Y-1△
Energy Regulation%0-25-50-75-100 (0-33-66-100)
form
Semi-hermetic screw compressor
powerKW18.724.831.134.24144.750.85455.358.963.970.484.386.397.1103.9108.6123.9133.6145.9164.8185205.7229.8265.3
Evaporatortype
Shell and tube
Chilled water flowm3/h192532343842505254636875838794107115136148167178202210222245
Pipe diameter
PT 2-1/2"PT 3〃PT 4〃PT 5〃PT 6〃PT 8〃PT 5〃*2PT 6〃*2
Condensertype
Shell and tube
Cooling water flowm3/htwenty three2936404448586064728492101105115128142159180198213242259281315
Pipe diameter
PT 3〃PT 4〃PT 5〃PT 6〃PT 8〃PT 5〃*2PT 6〃*2
Security protectionCompressor overheat protection, overcurrent protection, high and low pressure protection, overtemperature protection, flow protection, phase sequence/phase loss protection, exhaust overheat protection, and antifreeze protection.
Dimensionslongmm2250230025002500250026002800280028002800320033003300330034003400340036503650365039503950395039503950
Widthmm80080080080080085085085085085090090090090095095095010001000100011001100110012501250
highmm1450145015501550155017001800180018001800180018001800180019001900190020202020202021002100210022002200
Unit weightKG1030115013501420150016801730174017601800190019802100229024202530270029503200348036703880412044004800


Note: 1. The cooling capacity is measured under the following temperature conditions: the refrigerant is 60% hexanediol aqueous solution; the condensing temperature is 40°C. (The cooling capacity is the nominal cooling capacity) 

          2. Working range: Chilled water temperature range: 22℃ to 37℃, cooling inlet temperature difference is 3.5℃ to 10℃; refrigerant outlet temperature is 5℃ to 30℃, refrigerant inlet and outlet temperature difference is 2.5℃ to 10℃. 

          3. The refrigerant is a 60% glycol aqueous solution prepared by the user (please refer to the low temperature refrigerant configuration table for details)

          4. The above specifications and dimensions are subject to change without prior notice


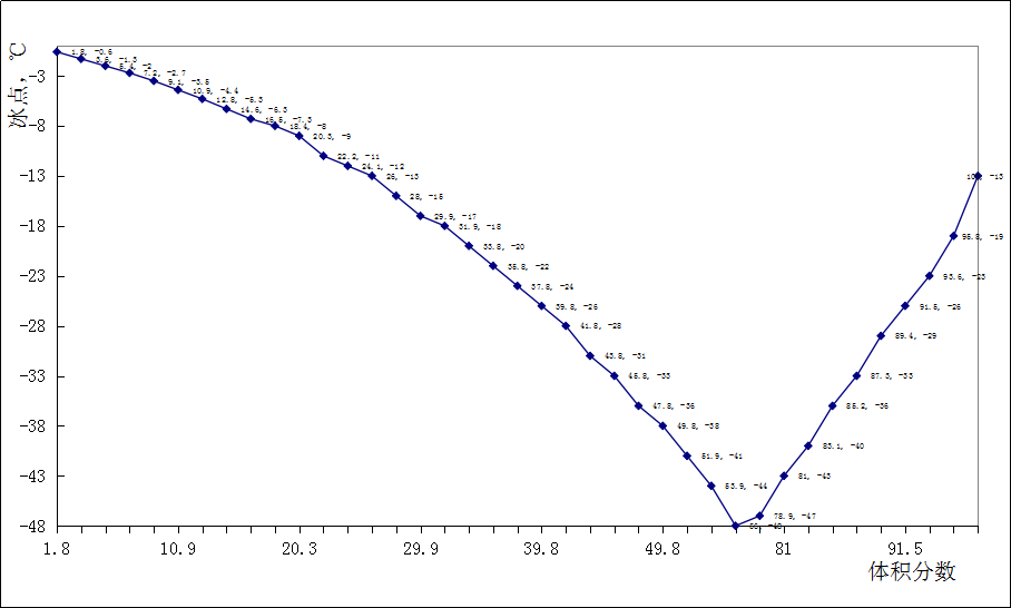
Freezing point and proportioning method of ethylene glycol aqueous solution as coolant

3-200G60U254217.jpg